Vektoren

Vektor

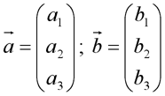
Die klassische Art, Punkte oder Richtungen im dreidimensionalen Raum zu beschreiben, ist die Zusammenfassung von drei Koordinaten (x, y und z) in einem Vektor:

Definition

Einen Vektor kann man sich als Pfeil vorstellen, der vom Nullpunkt (0 0 0) auf die entsprechenden Koordinaten zeigt.

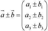
Addition / Subtraktion

Vektoren werden einfach koordinatenweise addiert und subtrahiert:

Addition und Subtraktion          Geometrische Subtraktion

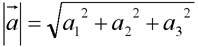
Betrag / Länge

Die (euklidische) Länge eines Vektors im kartesischen Koordinatensystem bestimmt man über den Betrag des Vektors:

Betrag/Länge eines Vektors

Multiplikation mit einer Zahl

Um eine Zahl (einen sogenannten Skalar) mit einem Vektor zu multiplizieren, multipliziert man die einzelnen Koordinaten. Der Vektor wird dabei also kürzer oder länger.

Skalarmultiplikation

Teilt man einen Vektor durch seine Länge, erhält man einen sogenannten normalisierten Vektor, der die Länge 1 hat.

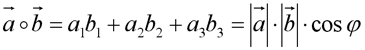
Skalarprodukt

Darüber hinaus gibt es Möglichkeiten, Vektoren auch miteinander zu multiplizieren. Die erste Art und Weise, das zu tun, ist das Skalarprodukt, durch das man auch den Cosisnus des Winkels zwischen zwei Vektoren bestimmen kann:

Skalarprodukt zweier Vektoren         Skalarprodukt und Winkel

Durch Multiplikation zweier Vektoren kann man also Beziehungen zwischen ihnen herausfinden. Wenn z.B. zwei Vektoren senkrecht aufeinander stehen, wird das Skalarprodukt 0 (warum eigentlich?).

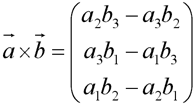
Vektorprodukt

Um einen dritten Vektor zu bestimmen, der senkrecht auf zwei Vektoren steht, verwendet man das sogenannte Vektorprodukt (auch Kreuzprodukt genannt):

Vektorprodukt

Ergebnis ist hier also ein Vektor, und nicht ein Skalar. Eine nützliche Eigenschaft des Vektorprodukts ist, dass man mit ihm auch wieder Schlüsse über den Winkel zwischen den Vektoren ziehen kann:

Vektorprodukt und Winkel

Das Vektorprodukt wird in allen Koordinaten 0 (und damit auch sein Betrag), wenn die beiden Vektoren in dieselbe oder in genau entgegengesetzte Richtungen zeigen (man nennt das kollinear).

Noch eine Anmerkung dazu: Im Computer treten immer Rechenungenauigkeiten auf, da wir ja nur mit Kommanzahlen einer begrenzten Länge rechnen. Prüft Skalarprodukt oder Vektorprodukt also bitte nicht auf genau Null, sondern erlaubt plus/minus einer sehr kleinen Zahl!

zurück